Lab
High-Quality Reprocessed PVC Granules with Comprehensive Testing
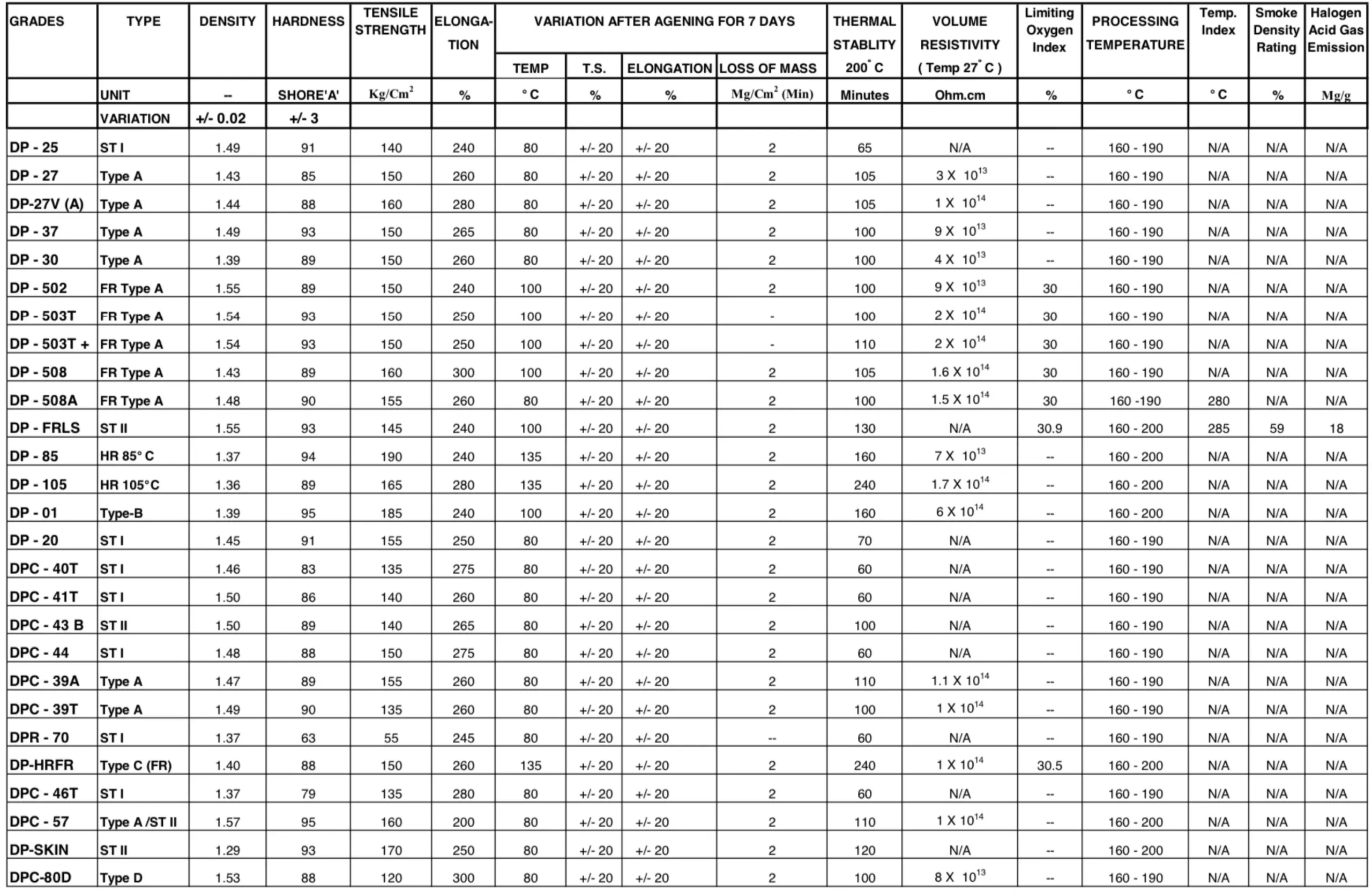
At Infinity PVC Solutions, we are dedicated to producing top-quality reprocessed PVC granules that meet the highest standards of performance and durability. Our products undergo a series of stringent tests to ensure that they meet the specific requirements of various industries.
Our Testing Process
Hardness Testing
We assess the hardness of our PVC granules to verify that they provide the right balance of flexibility and strength. Our hardness testing ensures that the granules are suitable for use in applications requiring durability and resilience.
Elongation at Break
Elongation testing measures the ability of the granules to stretch before breaking. This is crucial for applications where flexibility and resilience are key. We test to ensure that our granules have the ideal elongation properties for a variety of uses.
Thermal Stability and Processing Performance
Our PVC granules are tested for thermal stability to ensure that they can withstand high temperatures during processing without degrading. We also assess how well they perform under different thermal conditions, guaranteeing that the final products maintain their integrity.
Quality Control Throughout Production
From raw material sourcing to final granule production, we maintain a strict quality control process to ensure consistency and high performance. Each batch is tested to confirm it meets our rigorous quality standards.




